(pdf, 18/10/2023, 2 Mo) Charge dans E ou B
(pdf, 18/10/2023, 15 Mo) Charge dans E ou B-démonstrations
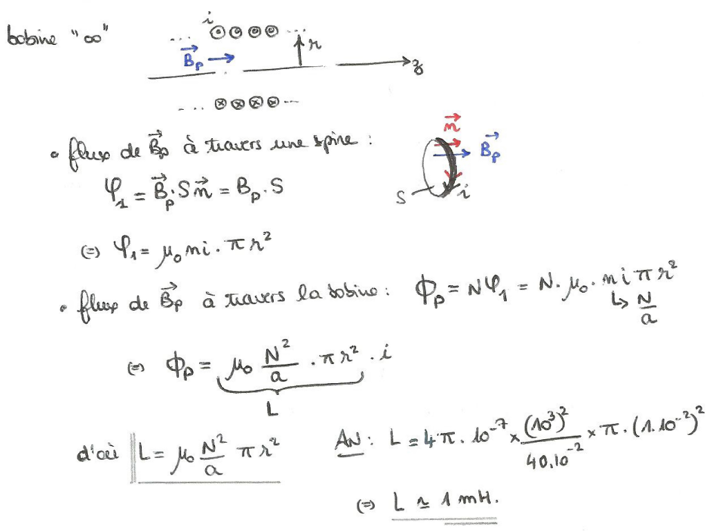
(png, 07/12/2022, 232 ko) Révisions MPSI Induction_inductance propre bobine
(pdf, 20/10/2023, 6 Mo) Révisions_chimie : absorbance, conductivité, dosages et cinétique
(pdf, 08/02/2022, 9 Mo) Solides cristallins_corrigés ex classiques
(pdf, 08/02/2022, 2 Mo) Solides cristallins_Rappels_Exercices
