(png, 19/11/2025, 213 ko) TD7 - 1 Corr (Noeuds)
(png, 21/11/2025, 67 ko) TD7 - 2 Corr (RL theorie)
(png, 21/11/2025, 48 ko) TD7 - 3a Corr (Double RC)
(png, 21/11/2025, 114 ko) TD7 - 3b Corr (Double RC)
(png, 21/11/2025, 120 ko) TD7 - 4 Corr (RL oscillo)
(png, 19/11/2025, 58 ko) TD7 - 5 Corr (Zeq)
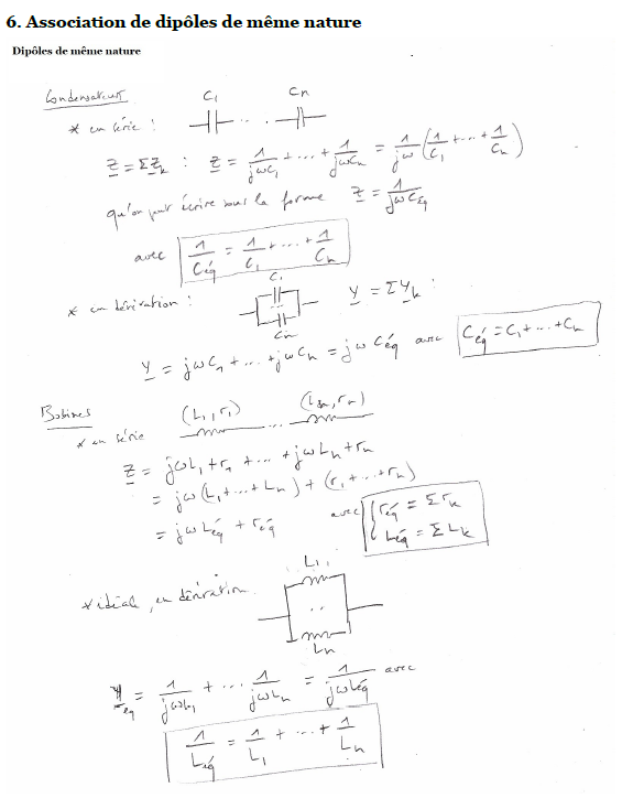
(png, 21/11/2025, 136 ko) TD7 - 6 Corr (Assoc meme nature)
(png, 19/11/2025, 440 ko) TD7 - 7 Corr (Quel dipole)
(png, 21/11/2025, 207 ko) TD7 - 8 Corr (Circuit en sinus)
(png, 21/11/2025, 346 ko) TD7 - 9 Corr (Assoc RLC)
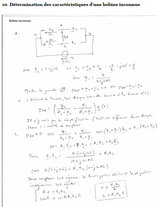
(png, 21/11/2025, 160 ko) TD7 - 10 Corr (Determ Lr)
