(png, 01/12/2025, 49 ko) TD9 - 1 Corr (Optimisation RLC)
(png, 01/12/2025, 52 ko) TD9 - 2 Corr (ED i RLC)
(png, 01/12/2025, 29 ko) TD9 - 3 Corr (i0 RLC parallele)(1)
(png, 01/12/2025, 49 ko) TD9 - 3 Corr (i0 RLC parallele)(2)
(png, 04/12/2025, 42 ko) TD9 - 4 Corr (resolutions completes)(1)
(png, 04/12/2025, 130 ko) TD9 - 4 Corr (resolutions completes)(2)
(png, 04/12/2025, 83 ko) TD9 - 5 Corr (courbe rep pseudoperiodique)
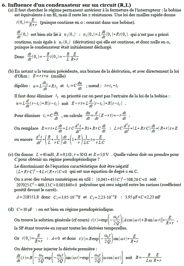
(png, 04/12/2025, 153 ko) TD9 - 6 Corr (influence C circ RL)
